MusicaInfo
Visita i nostri partner
Musicainfo.radio Player - clicca qui
Pagina principale | Cerca | Prodotti disponibili | Il mio profilo | La Mia Radio | Blog | Registrarsi | Collegarsi Deutsch|English|Español|Français|Nederlands
 Bancadati Note
Spartiti
Cd musicali
Libri sulla musica
Accessori
Sottocategorie
Compositori/collaboratori
Autori musicali
Partner nella distribuzione
Abbreviazioni
Blog
Radio
Quick search:
 Info Note
Chi siamo noi?
Concerti/band (at, ch, de)
Contatti
Visita i nostri partner
Musicainfo.radio - clicca qui
Spartiti/ colonne sonoreSpartiti/ colonne sonore
Dance Movements - clicca per un'immagine più grande
clicca per un'immagine più grande
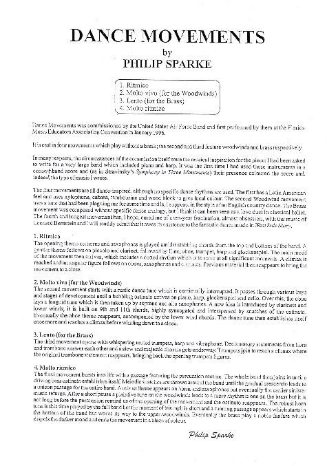
Dance Movements - Esempio di spartiti
Esempio di spartiti
Titolo Dance Movements
N. di articolo 9142001
Categoria Concert/wind/brass band
Sottocategoria Musica per fiati contemporanea (1945-oggi)
Instrumentation Ha (orchestra di strumenti a faito)
Format/Umfang PrtStm (partitura e parti)
Paese di pubblicazione Regno Unito (uk)
Casa editrice * Fields with a star (*) are only visible for club members after registrationclicca qui
N. di articolo della casa editrice * Fields with a star (*) are only visible for club members after registrationclicca qui
Titolo della serie Prestige Series
Anno di pubblicazione 1997
Price Bitte einloggen um den Preis anzuzeigen.clicca qui
Compositore Sparke, Philip
Livello di difficoltà 6
Evaluation level of countries A5 (Einstufung Österreich Stufe E); C5 (Einstufung Schweiz Höchstklasse); D6 (Einstufung Deutschland Höchstklasse)
Duration 19:40
Ulteriori informazioni / contenuti "Dance Movements" è stato commissionato dalla United States Air Force Band e da loro eseguito per la prima volta nel febbraio 1996. Un tour-de-force per una grande band, il lavoro si articola in quattro movimenti continui che hanno come base i ritmi e gli umori della danza. Il secondo movimento è caratterizzato dai fiati e il terzo è per gli ottoni. Vincitore del prestigioso "Sudler Award" per la nuova musica per banda di fiati 1997.
No. Titolo Duration Campione del suono
1 Ritmico 3:21 clicca qui
2 Molto vivo (for woodwinds) 4:47 clicca qui
3 Lento (for brass) 4:13 clicca qui
4 Molto ritmico 6:59 clicca qui
Esempio di spartiti Esempio di spartiti clicca qui
Esempio di partitura * Esempio di partituraFields with a star (*) are only visible for club members after registrationclicca qui
Campione del suono * Esempio di partituraFields with a star (*) are only visible for club members after registrationclicca qui
Esempi di video * Esempi di videoFields with a star (*) are only visible for club members after registrationclicca qui
Ascolta su Musicainfo Radio * Musicainfo RadioFields with a star (*) are only visible for club members after registrationclicca qui
Disponibile sì
ergänzender Text * additional textFields with a star (*) are only visible for club members after registrationclicca qui
Format/Umfang
Dance Movements - clicca qui Dance Movements (orchestra di strumenti a faito), partitura e parti
Dance Movements - clicca qui Dance Movements (orchestra di strumenti a faito), partitura
2003 Midwest Clinic: Birmingham Symphonic Winds - clicca qui 2003 Midwest Clinic: Birmingham Symphonic Winds, Audio-CD
American Winds - clicca qui American Winds, Audio-CD
Great British Music for Wind Band #5: Venetian Spells - clicca qui Great British Music for Wind Band #5: Venetian Spells, Audio-CD
Jubiläums-CD - clicca qui Jubiläums-CD, 2 Audio-CDs  esaurito   Saldo disponibile 
Wind Dances - clicca qui Wind Dances, Audio-CD

prodotti disponibili Per ordinare l'articolo e fai il login (clicca qui).


Indietro ai parametri di ricerca più recenti

Indietro alla lista di risultati più recente

I campi con solo una stella sono visibili solo per club members after registration.

Per visionare alcuni esempi di di spartiti hai bisogno di Adobe Reader, che può essere scaricato gratuitamente cliccando su uno dei seguenti link.

Adobe Reader

Per ascoltare alcuni esempi di suoni hai bisogno di un lettore MP3, che può essere scaricato gratuitamente cliccando su uno dei seguenti link

Non è iscritto : register o login
Visita i nostri partner
Musicainfo.radio - clicca qui
I nostri banner | Per gli autori/venditori | Newsletter
Raccolta dati Copyright 1983-2019 Helmut Schwaiger. Progettazione di banche dati e sito web Copyright 2002-19 Robbin D. Knapp.